
Human in the Loop: Deep Learning without Wasteful Labelling
- Article
- 2019
- #ArtificialIntelligence #MachineLearning
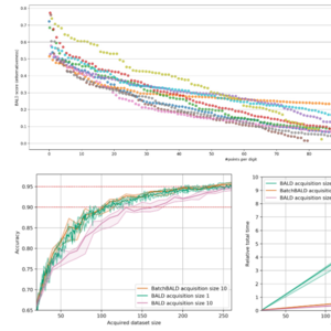
Using deep learning and a large labelled dataset, we are able to obtain excellent performance on a range of important tasks. Often, however, we only have access to a large unlabelle...
Show More